君是降龍伏虎手,拈花微笑散諸天。
蒼茫五十年前事,貝葉重翻亦惘然。
季子音容猶彷佛,諸孫頭角各崢嶸。
藏書樓址依稀認,忍過山陽聽笛聲。”
《安徽俗話報》由陳獨秀任主筆,吳汝澄負責小說、詩詞方面的稿件,房秩五編輯教育稿件。1904年秋,桐城學堂搬往桐城,編輯部遷往蕪湖科學圖書社。《安徽俗話報》冠名為報,實為半月刊,從1904年到1905年,印22期。這份報紙承接近代經世致用思潮和啟蒙新思潮,是“文界革命”和白話文運動的有機一環。陳獨秀寄居在科學圖書社樓上,一邊教學,一邊編輯。
摘自《58人》:中國共產黨的緣起-第一章第5節(作 者:馮精志 吳曉平)。
Chris注: 這應該是房秩五的《悼陳仲甫》二首詩:
其一
君是降龍伏虎手,拈花微笑散諸天。
蒼茫五十年前事,貝葉重翻亦惘然。
其二
季子音容猶彷佛,諸孫頭角各崢嶸。
藏書樓址依稀認,忍過山陽聽笛聲。
42年5月陳獨秀在江津吃豆花中毒而死時,房秩五還寫過《挽陳仲甫》詩二首:
其一
縱浪人間四十年,我知我罪兩茫然。 是非已付千秋論,毀譽寧憑眾口傳。
野史亭中虛左席,故書堆里絕書編。 古人菲薄今人笑,敢信斯文未喪天!
其二
盛唐山下昔婆娑,斫地悲哀發浩歌。舌戰雄能逃豎子?筆誅嚴更懾群魔。
留人別館三秋雨,送我晴江萬里波。 往事蒼茫誰與語?側身西望淚滂沱。
]]>但DT40C為二線制紅外測溫儀,除了輸出4-20mA信號給數顯表/PLC/DCS以外,其通信接口為USB通信,所以只能連接我們的USB通信接口,這個接口只有1.8米。這樣就無法遠傳到控制室的軟件中去。
而很多OEM客戶或使用德國DIAS的紅外測溫儀軟件PYROSOFT Spot來顯示,或自己根據DIAS的紅外測溫儀SDK軟件開發包開發自己的軟件,那么要將這個火焰紅外測溫儀數據遠傳到控制室里的軟件,DT40C就比較麻煩。
這時就務必要使用高精度的DA10C紅外測溫儀(以前的為DPE10C),這個型號帶RS485通信接口。但DA10C的問題是方形的,國內的機械配件比如水冷套或吹掃器做起來比較費事,而且DA10C價格比DT40C要貴多了。
德國DIAS紅外公司最近推出了低價格四線制火焰紅外測溫儀DT44C,樣式和形狀類同與DT40C,但帶RS485通信接口。
德國DIAS各種火焰專用型紅外測溫儀或煙氣紅外測溫儀的性能對比:
| 型號 | DT40C | DT44C | DA10C | DSR10NF | DSR54NF |
| 測溫范圍 | 200~3000°C(分段) | 200 ~1800°C | 500~2000°C | 600~3000°C | 600~3000°C |
| 外形 | 圓形 | 圓形 | 方形 | 方形 | 圓形 |
| 子測溫范圍 | 標準范圍內可調,最小跨度為 50°C | ||||
| 4.5μm(熱CO2吸收波段) | 4.6μm | 0.7~1.1μm | 0.7~1.1μm | ||
| 光學系數 | 固定焦距 | 可變焦距 | 可變焦距 | 固定焦距 | |
| 距離系數 | 50:1 | / | / | 100~300:1 | |
| 誤差 | 1% 測量值+1K(500~1800°C); | 0.5%測量值+1K | 0.5%測量值+1K | 0.5%測量值+1K | |
| 重復精度 | 0.5 % 測量值 + 1 K | 0.2 %測量值+1K | 0.2%測量值+0.5K | 0.2%測量值+0.5K | |
| NETD | 0.2K | 0.1K | |||
| 響應時間(t95) | 60ms~100s | 1ms~100s | 5ms~100s | 5ms~100s | |
| 發射率 | 0.200 ~ 1.000 | 0.050~1.000(單色模式) | |||
比色系數K | / | / | / | 0.800~1.200 | 0.800~1.200 |
| 煙灰因子Sn | / | / | / | 0.50~2.50 | 0.50~2.50 |
| 存儲方式 | 最大值或最小值存儲, 可通過通信接口調整 | ||||
| 輸出 | 4~20mA, 溫度線性, Rmax700Ω | 0/4~20mA, 溫度線性, Rmax700Ω | 0/4~20mA, 溫度線性, Rmax500Ω | ||
| 通信接口 | USB, 電隔離 | 電隔離RS485通信接口, 半雙工, 波特率115kBd | |||
| 瞄準 | 無 | 透鏡 | 激光, 視頻, 透鏡 | 激光, 視頻 | |
| 軟件 | Windows?下軟件 PYROSOFT Spot | ||||
| 參數 | 發射率, 響應時間, °C 或 °F, 存儲方式, 子范圍, 經通信接口和軟件可調 | 煙灰因子、坡度、其它同DA10C的參數 | |||
| 用戶控制 | 無 | 按鍵、顯示器 | 按鍵、顯示器 | 無 | |
| 供電電源 | 24 V DC ± 25 % | ||||
| 功耗 | 最大0.6W | 1.5W | 1.5W | 1.5W | |
| 操作溫度 | 0~70 °C | ||||
| 存儲溫度 | –20~70 °C | ||||
| 重量 | 450g | 450g | 520g | 520g | 600g |
| 尺寸 | 螺紋 M40 x 1.5, 長 125 mm | 54x54mm, 長170mm | 長105mm, Φ50mm | ||
| 外殼 | 不銹鋼外殼,帶插頭 | 緊湊型鋁外殼, 帶顯示器和按鈕 | 不銹鋼外殼,帶插頭 | ||
| 安全等級 | IP 65 (符合 DIN 40 050) | ||||
| CE 認證 | 符合 EU 規則(EN 50 011) | ||||
| 交貨范圍 | 紅外測溫儀, 操作手冊, 檢測單, Windows?下軟件 PYROSOFT Spot,無連接電纜(需單獨訂購) | ||||
關于他的民族屬性,需要明確以下幾點:
1. 主流史料明確記載為漢族:所有可靠的官方史書(如《明史》)、地方志、海瑞家族族譜以及其本人的著作、墓志銘等,均未記載海瑞有漢族以外的民族身份。他出生于廣東瓊山(今海南海口),祖籍福建,其家族是典型的漢人士大夫家族。
2. 回族說”的來源與辨析:極少數現代觀點或民間傳說猜測海瑞可能是回族,主要依據是:
* 姓氏“海”:認為“海”姓可能來源于回族的經名(如“哈桑”的簡化)。但這缺乏確鑿證據。海瑞祖先姓“答”,元朝時從福建遷至廣東,后其始祖答兒(海答兒)在明朝初年因軍功賜姓“海”(取“海答兒”首字)。這屬于明朝常見的賜姓行為,并非源于伊斯蘭教名。
* 名字“瑞”:“瑞”字是典型的漢族吉祥用名,與伊斯蘭教名無關。
* 其母壽辰記錄:據明代文人顧起元的筆記《客座贅語》記載,海瑞曾為母親祝壽,只買了**兩斤豬肉**。如果海瑞是嚴格遵守伊斯蘭教規的回族,在家中為母親祝壽買豬肉是極其不合常理的行為。這條記載有力地反駁了“回族說”。
* 喪葬與文化:海瑞的喪葬禮儀完全遵循漢族的儒家傳統,沒有任何伊斯蘭教葬儀的記載。
3. 明代戶籍制度與民族認同:明代對于不同族群(如回回、色目人等)在戶籍上有一定區分。海瑞及其家族在官方戶籍記錄中從未被標注為非漢族。
4. 學術界的共識:主流歷史學界(包括研究明史、海瑞生平的權威學者)和官方歷史敘述,均明確認定海瑞為漢族。
結論:
沒有任何可靠的歷史證據支持海瑞是回族或其他少數民族。他是地地道道的漢族人。將海瑞視為回族,是現代一些基于姓氏的模糊聯想或誤解,缺乏歷史依據,已被嚴謹的史料和學術研究所否定。
]]>鳳是鳳凰的簡稱,又稱之為百鳥之王。
鹓雛(鹓鶵):yuān chú;用以比喻有才望的年青人
鸑鷟:yuè zhuó;象征著堅貞不屈的品質
鴻鵠:hóng hú;飛行極為高遠
《永樂大典》(漢)太史令蔡衡曰:凡像鳳者有五色,多赤者鳳(赤色),多青者鸞(青色),多黃者鹓鶵(金色),多紫者鸑鷟(紫色),多白者鴻鵠(白色)
《禽經》:“青鳳謂之鹖,赤鳳謂之鶉,黃鳳謂之焉,白鳳謂之肅,紫鳳謂之鷟。”
]]>美國CONCOA公司為工業和研發提供可靠耐用的減壓閥和氣體輸送系統。
]]>蘭貝特定律,又稱之為余弦定律。
從蘭貝特定律指出了黑體輻射能量在空間的分布規律,同時也說明了紅外測溫需要遵循的測溫瞄準方向。
基本問題
經常我們會碰到客戶問,用紅外測溫儀或紅外熱像儀測量一個物體的溫度,應該怎么安裝紅外測溫儀或紅外熱像儀呢?
換言之,就是怎么安裝紅外測溫儀或紅外熱像儀,和被測物體之間的角度是多少,才能準確測溫呢?
黑體輻射的基本規律
我們可以從相關書籍上很容易找到這些熱輻射和黑體輻射的基本規律和特性:
1. 斯忒藩-玻耳茲曼定律:
黑體的輻射力由斯忒藩-玻耳茲曼定律來確定,輻射力與溫度T的四次方成正比:
斯忒藩-玻耳茲曼定律計算的是絕對黑體表面所輻射的總能量。
2. 普朗克定律
黑體輻射能量按波長的分布服從普朗克定律。
3. 蘭貝特定律
黑體輻射能量按空間方向的分布服從蘭貝特定律;
4. 維恩位移定律:
黑體的光譜輻射力有一個峰值,與此峰值值相對應的波長λm由維恩位移定律確定;隨著溫度的升高,λm向波長短的方向移動。
蘭貝特定律(余弦定律)
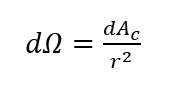
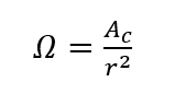
平面幾何中,通常用平面角來表示某一方向的空間所占的大小,其單位為弧度。類似地,在三維空間中,用立體角(solid angle)Ω及微元立體角dΩ來表示某一方向的空間所占的大小,
(1)
(2)

圖1:微元立體角和半球空間幾何參數的關系
上圖中,φ為經度角(azimuthal angle), θ為緯度角(latitudinal angle)。r為半球半徑,Ac為Ω對應的面積,dAc為dΩ對應的微面積。
空間的方向可以用該方向的經度角與緯度角來表示。
顯然,要說明黑體向半球空間輻射出去的能量按不同方向分布的規律,只有對不同方向的相等的立體角來比較才有意義。
立體角的單位稱為空間度,通常記為sr。
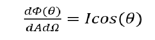
(3)
這個公式是實驗測定的。它表明,面積為dA的黑體微元面積向圍繞空間緯度角θ方向的微元立體角dΩ內輻射出去的能量為dΦ(θ)。
這里I為常數,與θ方向無關。這個公式還可以表達為:
(4)
這里dAcosθ可以視作從θ方向看過去的面積,稱為可見面積。參見下圖:

上式左側物理量是從黑體(爐)單位可見面積發射出去的落到空間任意方向的單位立體角中的能量,稱之為定向輻射強度(Directional radiation intensity)。
式(4)表明黑體的定向輻射強度是個常量,與空間方向無關。這就是黑體輻射的蘭貝特定律。
注意,定向輻射強度是以單位可見面積作為度量依據的,如果以單位實際輻射面積為度量依據,則就是式(3)所示的結果。該式表明,黑體單位面積輻射出去的能量在空間的不同方向分布是不均勻的,按空間緯度角θ的余弦規律變化;在垂直于該表面的方向最大,而與表面平行的方向為零,這是蘭貝特定律的另一種表達方式,稱為余弦定律。
這就告訴我們,要采用紅外測溫儀、紅外掃描熱像儀、紅外熱像儀對紅外輻射進行測溫,那么瞄準被測物體或輻射體的方向,需遵循蘭貝特定律。換言之,
最準確的測量瞄準方式,就是將紅外鏡頭垂直于被測物體或輻射體(在垂直于該表面的方向最大);
越是與被測物體或輻射體的方向平行,獲得的輻射能量就越小(而與表面平行的方向為零);
而其它瞄準方向所獲得的紅外能量和緯度角θ的余弦值cos(θ)相關。
蘭貝特定律(Lambert Law),又稱之為余弦定律,又翻譯成朗伯定律。
2024年已經推出和即將推出的新產品:
1. 黑體爐CCS130、CCS3-130
CCS130,已推出:
溫度范圍:30~130°C,出廠設定,每步1°C
單個腔體:Φ55mm, 發射率:0.98±0.01
CCS3-130,已推出:
溫度范圍:30~130°C,出廠設定,每步1°C
3個腔體:每個腔體Φ55mm, 發射率:0.98±0.01
2. 紅外熱像儀PYROVIEW
2.1 新型短波紅外熱像儀PYROVIEW
在以前的:
1) PYROVIEW 320N(250~1200°C,像素320x240)
2) PYROVIEW 512N(600~3000°C,像素512x384)
3) PYROVIEW 768N(600~3000°C,像素768x576)
三種的基礎上,推出了更高像素的
4) PYROVIEW 1600N(650~1800°C)
簡寫PV1600N。192萬(1600x1200)像素。
視場角:21°x12°,39°x22°,59°x35°
5) PYROVIEW 1920N(650~1800°C)
簡寫PV1920N。207萬(1920x1080)像素。
視場角:18°x13°,33°x25°,50°x39°
這二個超高像素的紅外熱像儀。
這使得短波紅外熱像儀的像素更高、分辨率更高、熱圖像更清晰。
2.2 PYROVIEW 320N由PYROVIEW 512S替代
2024年秋天或晚點推出
InGaAs探測器
單個測溫范圍:350~1200°C
3. 紅外熱像測溫系統PYROINC
在PYROINC 768N endoscope基礎上,新增了:
PYROINC 1600N endoscope
FOV:90°x72°(可選帶60°傾角),或66°x50°
PYROINC 1920N endoscope
FOV:76°x45°
測溫范圍:650~1800°C
1個鏡頭,6個溫度段,軟件內部切換
波長:0.8~0.9μm
這二個紅外熱像測溫系統基于PV1600N和PV1920N這二個新的短波紅外熱像儀,但視場角明顯不同。PYROINC 1600N endoscope的視場角90°x72°可以帶60°傾角,常用于頂部安裝,但測量的是平面視場,用一個很簡單的視圖就可以明白:
4. 紅外測溫儀PYROSPOT
4.1 54、55、56、10系列即將全面升級
- 采用更新的處理器及電子機構
- 采用一些新增性能和特殊算法
- 幾種通信協議:RS485和/或以太網通信
- 可通過USB或以太網輸出視頻信號
- 完成時間:正在進行中
4.2 80系列換新裝、增加新的型號
- 更換新的外殼形式
- 增加透鏡瞄準方式(目前有激光、視頻瞄準)
- 增加DA80G、DA80F、DA80M、DGE80N等型號
- 完成時間:未來1~2年
4.3 新增低價集成式紅外測溫儀25系列
- 探頭更細小,Φ25mm直徑
- RS485通信接口
- 后部帶指示燈顯示操作和狀態
- 新型處理器和電子機構
- 多種型號: DA25F、DA25G、DA25M
DS25N、DG25N、DSR25N
- 內部帶瞄準燈
- 客戶可互換鏡頭
5. 軟件PYROSOFT
德國DIAS紅外公司的軟件更新是經常的,每年都會根據實用的要求、客戶的需求增加相應的功能。這個不再贅述。
2023年已經徹底停產的型號:
DP10N、DPE10M、DPE10MF
DT54L、DT54G、DT56L、DT56G
DY10U、DY10G、DCUIOP